学习《算法导论》堆排序算法,做了一些笔记。测试源码在 (github)
1. 堆
堆可以看成一个近似的完全二叉树,除了底层外,该树是完全充满的,而且是从左到右填充。
完全二叉树适合用数组来存储。用数组来存储完全二叉树是非常节省存储空间的。
最大堆中,是指除了根结点外(根结点没有 parent),所有结点的 i 都应该满足:
\(A[PARENT(i)] \ge A[i]\)

堆被看作是一个完全二叉树,那么该堆堆高度成正比 $O(lgn)$ ,我们会发现,堆结构上的一些基本操作的运行时间至多与树的高度成正比,即实际复杂度为 $O(lgn)$。
1
2
3
int parent(int i) { return i / 2; }
int left(int i) { return i << 1; }
int right(int i) { return (i << 1) + 1; }
2. 堆排序过程
-
堆化:将堆的
末端子节点作调整,使得子节点永远小于父节点。 -
建堆:从无序数据数组中构造一个最大堆。
-
排序:将最大堆中的根节点(即最大值)与最后一个节点交换位置,并将最后一个节点从堆中移除。然后,对剩余的节点进行堆调整,使其重新满足最大堆的性质。重复这个过程,直到堆中只剩下一个节点。
2.1. 堆化
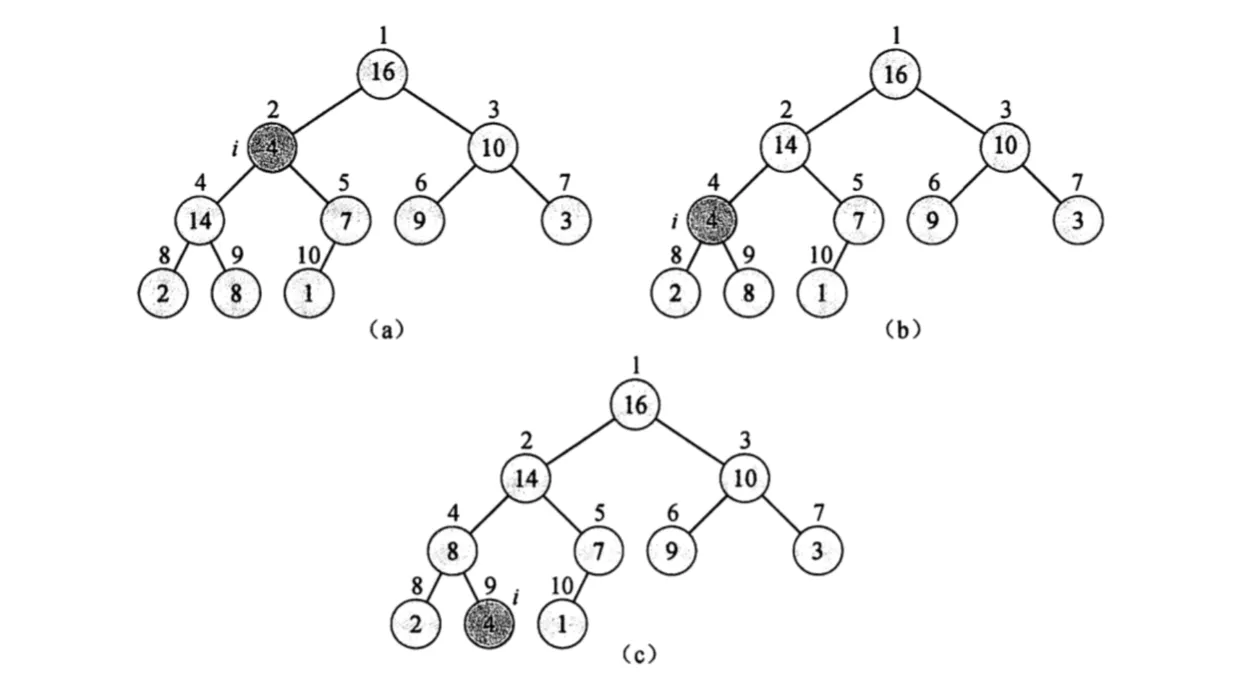
堆化让数值大的结点往上浮,让小的结点逐渐下沉。

1
2
3
4
5
6
7
8
9
10
11
12
13
14
15
16
17
18
void max_heapify(int array[], int size, int i) {
int largest = i;
int l = left(i);
int r = right(i);
if (l <= size && array[l] > array[i]) {
largest = l;
}
if (r <= size && array[r] > array[largest]) {
largest = r;
}
if (largest != i) {
swap(&array[largest], &array[i]);
max_heapify(array, size, largest);
}
}
2.2. 建堆
通过二叉树结点自底向上的方法,利用堆化过程,把一个大小为 n = A.length 的数组 A = [1…n] 转换为最大堆。建堆的时间复杂度为 $O(n)$。
1
2
3
4
5
void build_max_heap(int array[], int len) {
for (int i = (len / 2); i >= 1; i--) {
max_heapify(array, len, i);
}
}
2.3. 排序
- 建堆 会将数组 A[1…n] 建成最大堆,最大堆元素在根结点 A[1],去掉 A[1] 后,A[1] 的左右孩子结点仍然是最大堆。
- 如果把 A[n] 替换 A[1],破坏了最大堆性质,将重新对 A[1…n-1] 数组进行堆化,使其变成最大堆。
- 如此递归重复以上步骤。

1
2
3
4
5
6
7
8
9
10
11
12
13
14
15
16
17
18
19
20
void heap_sort::heap_sort() {
if (m_data_size <= 1) {
return;
}
// 建堆处理后,父结点 > 子结点
build_max_heap(m_array, m_data_size);
// 建堆后,堆顶结点(根结点)是最大数值,把最大值放到数组最后。原数组最后一个结点置换到根结点。
swap(&m_array[1], &m_array[m_data_size]);
// 排除数组最后一个元素,再对剩余堆进行堆化,再把堆化的根结点放到数组最后。
m_data_size--;
// 从上到下(父节点到子树结点)
while (m_data_size > 1) {
max_heapify(m_array, m_data_size, 1);
swap(&m_array[1], &m_array[m_data_size]);
m_data_size--;
}
}
3. 优先队列
在计算机系统的作业调度中,任务需要根据优先级进行执行。可以根据堆算法(最大堆),每个任务都赋予一个优先级数值,选出最高优先级(最大堆堆顶)作业任务执行。涉及任务处理,一般都有增删改查的操作。
理解了建堆,堆化和排序的流程,队列的这些操作应该都比较好理解了。
3.1. HEAP-MAXINUM
获取堆顶元素,时间复杂度为 $O(1)$

1
2
3
4
5
6
7
8
9
10
bool heap_sort::heap_maxinum(int& n) {
if (m_data_size <= 0) {
return false;
}
if (!m_is_build_heap) {
build_max_heap(m_array, m_data_size);
}
n = m_array[1];
return true;
}
3.2. HEAP-EXTRACT-MAX
删除堆顶元素,时间复杂度为 $O(n)$。

1
2
3
4
5
6
7
8
9
10
11
12
13
14
15
bool heap_sort::heap_extract_max(int& n) {
if (m_data_size <= 0) {
return false;
}
if (!m_is_build_heap) {
build_max_heap(m_array, m_data_size);
}
n = m_array[1];
swap(&m_array[1], &m_array[m_data_size]);
m_data_size--;
max_heapify(m_array, m_data_size, 1);
return true;
}
3.3. HEAP-INCREASE-KEY
增加堆指定元素(任务)的数值,HEAP-INCREASE-KEY 时间复杂度为 $O(lgn)$。

1
2
3
4
5
6
7
8
9
10
11
12
13
14
15
16
17
18
bool heap_sort::heap_increase_key(int i, int key) {
if (i < 1 || m_data_size <= 0 || key < m_array[i]) {
return false;
}
if (!m_is_build_heap) {
build_max_heap(m_array, m_data_size);
}
// 这里跟 build_max_heap 道理一样,只是 build_max_heap
// 是自底向上,heap_increase_key 是从 i 结点向上
m_array[i] = key;
while (parent(i) > 0 && m_array[parent(i)] < m_array[i]) {
swap(m_array[parent(i)], m_array[i]);
i = parent(i);
}
return true;
}
3.4. MAX-HEAP-INSERT
插入新元素到最大堆末位,也就是在最大堆上增加一个叶子,叶子自下而上与它的父结点比较替换。运行时间复杂度为 $O(lgn)$

1
2
3
4
5
6
7
8
9
10
11
12
13
14
15
16
17
18
19
20
21
22
bool heap_sort::max_heap_insert(int key) {
if (m_data_size >= m_data_len) {
return false;
}
if (!m_is_build_heap) {
build_max_heap(m_array, m_data_size);
}
// 将结点放置数组末位,也就是在最大堆上增加一个叶子,叶子自下而上与它的父结点比较替换。
m_data_size++;
m_array[m_data_size] = key;
// 这是 heap_increase_key 主逻辑的实现。
int i = m_data_size;
while (parent(i) > 0 && m_array[parent(i)] < m_array[i]) {
swap(m_array[parent(i)], m_array[i]);
i = parent(i);
}
return true;
}
4. 参考
- wiki
- 《算法导论》第六章 堆排序
- 堆和堆排序:为什么说堆排序没有快速排序快